广州科适特科学仪器有限公司代理商

10

手机商铺

qrcode
商家活跃:
产品热度:
  • NaN
  • 0.3999999999999999
  • 1.4
  • 0.3999999999999999
  • 3.4
corning康宁细胞计数仪
询价
代理商

广州科适特科学仪器有限公司

入驻年限:10

  • 联系人:

    谭小姐

  • 所在地区:

    广东 广州市 天河区

  • 业务范围:

    实验室仪器 / 设备、耗材、细胞库 / 细胞培养、试剂

  • 经营模式:

    代理商 生产厂商

在线沟通

公司新闻/正文

使用Corning®康宁细胞计数器对外周血单个核细胞(PBMC)进行计数—手动计数的明场替代方案

1290 人阅读发布时间:2021-06-24 14:35

新闻图片1
介绍—关于外周血单个核细胞(PBMC)
从供体中收集全血,分离并保存PBMC,同时保留剩余的血细胞和成分返回到主体(单采血液成分法)1。该过程产生大量的PBMC,其适合于进一步的实验或研究。
PBMC的计数

PMBC的大小小于许多哺乳动物细胞类型,并且取决于样本,可能包含红细胞(红细胞,RBC)污染。建议在通过康宁细胞计数器计数之前,通过离心分离或裂解去除RBC。
PMBC通常使用费时的手动方法(例如血球计数器)进行计数。自18世纪2以来,血细胞计数仪一直被认为是进行细胞计数的金标准,但结果通常是主观的,易变的,并且细胞直径的细微差异无法轻易或可重复地产生被察觉。
康宁细胞计数器提供了另一种方法,可以快速,准确地对这些细胞进行计数。开发了计数算法以识别和清除碎片并解决死细胞的问题,同时该应用程序的功能允许对种群进行门控,以从最终计数中清除较大的细胞和碎片。
材料和方法
使用康宁细胞计数器和使用血细胞计数器进行手动计数在两个不同的天对来自两个供体(所有细胞;阿拉米达,加利福尼亚)的冷冻保存的PBMC(无RBC)进行计数。
在康宁细胞计数器上对细胞进行计数,然后立即进行手动计数,并使用血细胞计数器和锥虫蓝排除法确定细胞活力。计数区域(1.96毫米2)的代表性图像如图1所示。
使用了康宁单元计数器的多计数功能(作为一个计数的一部分,最多可以采样八个字段)。在这个实验中,使用康宁细胞计数器对每个计数采样了八个不同的区域(总面积= 15.68 mm2),而手动方法对血细胞计数器的五个大正方形进行了计数(总面积= 5 mm2)。
新闻图片2                                                                                       图1.调焦后和计数后的代表性康宁细胞计数器图像。
                            (A)计数前正确聚焦图像。
            (B)计数结果。活细胞(绿色圆圈);死细胞(红色圆圈)。通过算法和用户指定细胞大小的门控,可以排除小细胞和碎片的计数(图2中的示例)。
                           (C)面板(B)的放大图。
新闻图片3
新闻图片4                                                              
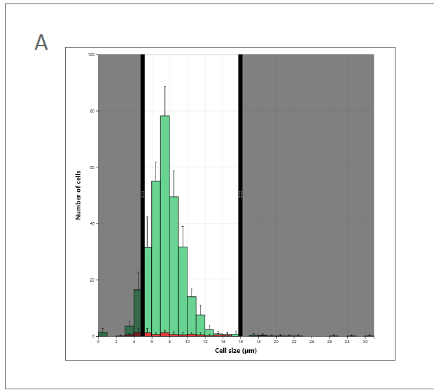
2.

(A)直方图显示了浇口直径设置为5至16 µm。超出此阈值的单元格从计数中排除。可以切换死细胞(红色条)和活细胞(绿色条)以独立检查那些亚群。显示了一个样品中八个计数的平均值±SD;如所述使用多计数功能。
(B)可通过使用多计数功能获得扩展的数据。

结果和讨论

使用CytoSMART™应用程序或CytoSMART云中结果页面的直方图功能,门设置为5至16 µm(图2)。对于此评估期间生成的实验数据,图3图4显示了两个供体在10个独立样本中的结果。
当使用配对t检验比较两种计数方法时,细胞密度和活力百分比的p值均大于0.05,表明每个数据集之间均无统计学差异。这些结果表明康宁®细胞计数器适合由经过培训的操作员对PMBC进行精确计数。
对PBMC进行计数时,重要的是避免计数不是细胞的死细胞。要在康宁细胞计数仪上计数为死细胞,该细胞在所有字段中必须显示为暗色,如图5所示。另外,还要注意计数的样品中不存在RBC,因为这可能会降低计数的准确性。

新闻图片5
            图3.通过计数方法得出的细胞密度(图表以供体分隔)。联合供体的配对t检验p = 0.141。


新闻图片6
                    图4.通过计数方法得出的细胞活力(图表以供体分隔)。联合供体的配对t检验p = 0.718。


新闻图片7
                                                                            图5.活细胞与死细胞聚焦图像



结论
康宁细胞计数器可用于需要精确细胞计数的PBMC计数中,并用作血细胞计数器手动计数的替代方法。
尽管康宁细胞计数器非常易于使用,但需要观察到适当的聚焦技术,以避免来自不同用户的计数的主观性。每一次计算,用户都将获得经验和熟练程度,从而提高准确性。
与通过手动方式相比,可以在康宁细胞计数器上对密度更高的细胞悬浮液进行计数。因此,将更准确地表示整个细胞群体,并且完全避免了“咔哒声疲劳”的相关问题。
与手动计数相比,使用多计数功能是对较大区域进行计数的一种快速简便的技术。

新闻图片8
康宁细胞计数仪介绍
计数只需3秒

Corning细胞计数仪可在三秒内完成单次细胞计数*,相较大多数的自动细胞计数仪更快。传统的细胞计数是基于图像分析算法在一个相对较小的计算平台上完成。而 Corning细胞计数仪则采用CytoSMART™云计算应用软件,通过MicrosoftAzure云端计算平台进行图像处理。这种云计算系统意味着更快更准确的图像分析能力。


准确率高
Corning细胞计数仪使用先进的图像分析处理软件,应用复杂的深度神经网络算法,使细胞计数的准确性达到最大。若添加台盼蓝,仪器便可在计数时区分活细胞和死细胞,从而计算出细胞活力。同时该软件还能对含有细胞簇的样本进行分析处理,所以对高浓度的细胞样本(高达1 x 10 7 个细胞/ mL)Corning细胞计数仪亦能进行精确计数。

计数成本低
每台Corning细胞计数仪会提供一片可重复使用的细胞计数板,很大程度的节约了客户一次性耗材的投入成本。同时客户也可使用相应的血球计数板结合Corning细胞计数仪进行细胞计数。

操作简便
Corning细胞计数仪操作十分简便,无需花费过多的时间进行人员操作培训。首先,将仪器连接到您的计算机或平板电脑,启动CytoSMART™云应用程序。然后,将装有样本的细胞计数板放置在仪器上,调整焦距,点击“计数”按钮,即可进行细胞计数,可对8次计数结果进行同步分析。

随时随地查看数据
传统自动细胞计数仪瓶颈:
  机载的计算机系能较小,报告生成时间过长。
  屏幕分辨率低,不能很好的分辨出活细胞或死细胞。
  只能通过U盘将数据导出。
Corning细胞计数仪很好的解决了以上难题。Corning细胞计数仪可在计算机上快速生成测试报告,包含计数样本的细胞浓度和活力,以及标注活细胞和死细胞的样本图像(若计数时添加台盼蓝),并将报告发送至CytoSMART™云端,使您可以随时随地在智能手机,平板电脑或计算机上查阅生成的图像和计数结果。所有测试生成的报告都将保存在CytoSMART™云端,因此您可以调阅相联实验的报告分析细胞培养的状态和质量。
新闻图片9

参考文献
1.https://www.allcells.com/tissue-products/leukopak/
2. Lin-Gibson S, et al. Summary of the National Institute of Standards and Technology and US Food and Drug Administration cell counting workshop: Sharing practices in cell counting measurements Cytotherapy, 2018; 20:785-795.





 

上一篇

相机触发 LED 光源实现活细胞自动多色成像方案探讨

下一篇

广州科适特顺利举办2021年显微成像和细胞实验技术培训班

更多资讯

我的询价